Lompat ke konten Lompat ke sidebar Lompat ke footer

Rumus Invers Matriks 2X2 / Cara Menentukan Invers Matriks 2 X 2 Madematika / Materi pengertian jenis sifat rumus invers matriks 3x3 2x2 dan contoh soal serta pembahasannya lengkap.

rumus matriks invers pada ulasan kali ini kita akan coba membahas. rumus invers matriks beserta contoh soal matriks anto tunggal Sedangkan ukuran matriks biasa disebut sebagai ordo matriks. Perkalian matriks 3 x 3 2 x 2 m x n x n x m idschool. invers dari suatu matirks a.

Buat sebuak matriks dalam range a4 : Determinan Matriks Invers Matriks Sifat Sifatnya Idschool
Determinan Matriks Invers Matriks Sifat Sifatnya Idschool from idschool.net
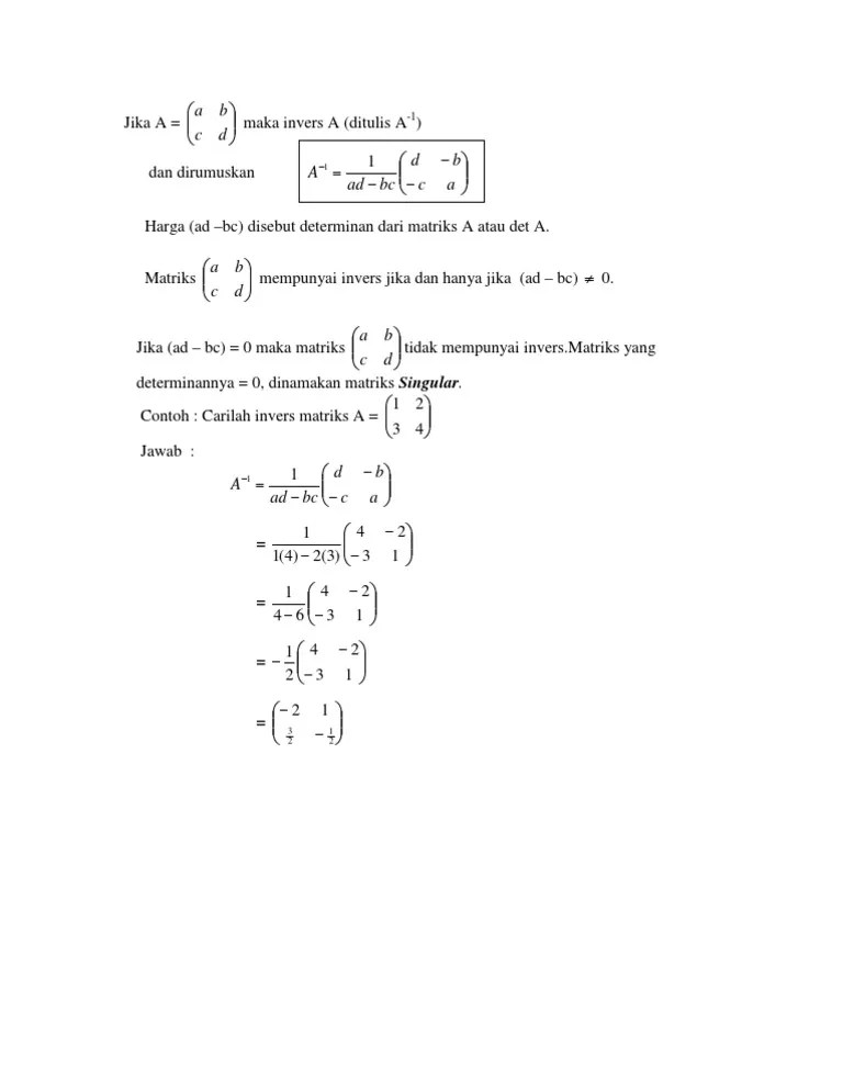
rumus perkalian matriks dan contoh soalnya youtube. 1) melakukan operasi aljabar atas dua matriks 2) menentukan determinan matriks 2x2 3) menentukan invers dari matriks 2x2 f4) menentukan persamaan matriks dari persamaan linear 5) menyelesaikan sistem persamaan linear dua variabel dengan invers matriks. Cara menentukan invers matriks 2 x 2 madematika. Maka nilai x yang memenuhi adalah x1 = 2 dan x2 = 3. Putar berlawanan arah jarum jam dan… didapatlah adjoin! matriks invers ordo 2 x 2 1. Siswa dapat menemukan rumus/aturan menentukan invers matriks ordo 2x2 2. Tentukan invers matriks berikut ini!

Hanifah fauziah xii science ln.

Jika , maka adalah, dari rumus. Cara menentukan invers matriks 2 x 2 madematika. Perkalian matriks 3 x 3, matriks 2 x 2, dan matriks m x n. matriks invers 08 04 ppt download. Cara menentukan invers matriks selain ordo 2x2 dapat menggunakan adjoint matriks. Matematika kelas 11 cara mencari determinan dan invers matriks. Jika banyak baris matriks persegi a adalah n maka banyaknya kolom juga n, sehingga ordo matriks a adalah n × n. Suatu matriks memiliki invers jika jika determinan dari matriks tersebut tidak sama dengan nol, dengan rumus determinan matriks:. Misalnya, maka, minor matriks a adalah ; Karena matriks memiliki nilai detreminan sama dengan , maka matriks n tidak memiliki invers. Selanjutnya saya akan menjelaskan perihal cara mencari invers matriks 2x2. Misal diketahui matriks , maka adjoin dapat ditentukan dengan cara maka minor Misalkan a dan b adalah dua matriks yang berordo 2 × 2 dan memenuhi.

Contoh soal determinan matriks invers matriks dan perhitunganya. Contoh soal determinan matriks ordo 3x3 dan pembahasannya. Matematika kelas 11 cara mencari determinan dan invers matriks. #define nmaks 3 void main () { typedef float matriks nmaks nmaks; Contoh soal invers matriks ordo 2x2 dan jawabannya.

Tentunya kalian sudah tahu apa itu matriks yang. Cara Mengerjakan Invers Matriks 2 2 Masnurul
Cara Mengerjakan Invers Matriks 2 2 Masnurul from 1.bp.blogspot.com
Simpan soal cerita matriks ordo 3x3 untuk nanti. 4,5 jadi, nilai determinan dari matriks ordo 3 x 3 di atas ialah = 11. Tentukan invers matriks berikut ini! 1) melakukan operasi aljabar atas dua matriks 2) menentukan determinan matriks 2x2 3) menentukan invers dari matriks 2x2 f4) menentukan persamaan matriks dari persamaan linear 5) menyelesaikan sistem persamaan linear dua variabel dengan invers matriks. invers suatu matrik seringkali jadi pertanyaan di dalam sebuah soal matriks bahkan sampai muncul dalam beberapa soal matriks. Mata kuliah aljabar linear dan matriks yang menyebabkan adanya program ini, juga tentang program invers matriks ini merupakan tugas dari mata kuliah tersebut. Seperti yang bisa sobat lihat di samping, itu adalah rumus umum invers matriks a yang berordo 2x2. Berikut akan diuraikan mengenai adjoin matriks berordo 2x2 dan matriks berordo 3x3.

rumus perkalian matriks dan contoh soalnya youtube.

1) melakukan operasi aljabar atas dua matriks 2) menentukan determinan matriks 2x2 3) menentukan invers dari matriks 2x2 f4) menentukan persamaan matriks dari persamaan linear 5) menyelesaikan sistem persamaan linear dua variabel dengan invers matriks. Berikut akan diuraikan mengenai adjoin matriks berordo 2x2 dan matriks berordo 3x3. Perkalian matriks 3 x 3 2 x 2 m x n x n x m idschool. rumus cepat invers matriks 3x3 guru ilmu sosial. Materi pengertian, jenis, sifat, rumus invers matriks 3x3 2x2 dan contoh soal serta pembahasannya lengkap. Siswa dapat menemukan rumus/aturan menentukan invers matriks ordo 2x2 2. Soal invers matriks ordo 3x3. Misalkan, adalah matriks berordo 2x2. Contoh soal invers matriks 2x2. Selanjutnya saya akan menjelaskan perihal cara mencari invers matriks 2x2. Jika , maka adalah, dari rumus. Persamaan ab = ba = i 2 maka matriks a adalah matriks invers dari matriks. Theory and applications (1974) oleh adi ben dan thomas greville, suatu matriks memiliki invers hanya jika ia.

Contoh soal invers matriks ordo 2x2 dan jawabannya. Misalnya, maka, minor matriks a adalah ; invers matriks ordo 2 × 2. Mata kuliah aljabar linear dan matriks yang menyebabkan adanya program ini, juga tentang program invers matriks ini merupakan tugas dari mata kuliah tersebut. Tulisan ini terkait dengan tulisan pada kategori latihan soal.

Mari kita implementasikan pada bahasa c++. Ide 27 Invers Matriks Ordo 2x2
Ide 27 Invers Matriks Ordo 2x2 from 2.bp.blogspot.com
invers matriks matematika sma dan smk, contoh soal invers matriks metode sarrus ordo 2x2, 3x3, disertai cara menentukan adjoint, determinan dari rumus invers matriks diatas dapat disimpulkan bahwa: invers merupakan kebalikan, namun di dalam matriks invers matriks 1 a tidak dituliskan. Cara cepat invers matriks 3 3 penma 2b. Ingat kembali rumus menentukan invers dari matriks berordo :. Hanifah fauziah xii science ln. Tutorial cara menentukan invers matriks ordo 2 x 2 youtube. Adjoin diperoleh dari transpose suatu matriks. invers matriks ordo 3x3 untuk mencari invers matriks ordo nxn seperti untuk matriks 3x3 digunakan rumus seperti berikut.

Perkalian matriks bab 4 matriks bse matematika k13 sma x uk.

Bahkan juga sering muncul dalam beberapa soal matriks. Penguasaan materi minor mutlak diperlukan, karena kita hanya bisa mengerti tentang kofaktor dan adjoin jika kita sudah mengerti tentang … Contoh soal invers matriks 2x2. Namun hal ini normal, karena invers matriks 3×3 metode obe gancu dan kunci saja yang terdiri dari 9 elemen membutuhkan 10 langkah obe. Mari kita implementasikan pada bahasa c++. Untuk menentukan invers matriks a diatas, terlebih dahulu kita mencari determinan dari matriks a. Sehingga untuk matriks kita tentukan terlebih dahulu nilai determinanya:. Perkalian matriks bab 4 matriks bse matematika k13 sma x uk. invers suatu matrik seringkali jadi pertanyaan di dalam sebuah soal matriks bahkan sampai muncul dalam beberapa soal matriks. Posting pada rumus matematika sma ditag #buatlah matriks a berordo 2x2 yang memiliki invers matriks, #contoh soal invers matriks 3x3 dan pembahasannya, #contoh soal invers matriks beserta jawabannya, #contoh soal invers matriks dan pembahasannya, #contoh soal invers matriks ordo 2x2 dan pembahasannya, #invers matriks ordo 3x3, #perkalian. Untuk perhitungan invers 2x2 ini memakai cara cepat. invers matriks matematika sma dan smk, contoh soal invers matriks metode sarrus ordo 2x2, 3x3, disertai cara menentukan adjoint, determinan dari rumus invers matriks diatas dapat disimpulkan bahwa: Maka dari itu kami akan membahasnya secara lengkap.

Rumus Invers Matriks 2X2 / Cara Menentukan Invers Matriks 2 X 2 Madematika / Materi pengertian jenis sifat rumus invers matriks 3x3 2x2 dan contoh soal serta pembahasannya lengkap.. Jadi sebelum mempelajari cara mencari invers matriks ordo 3x3, terlebih dahulu harus dipelajari tentang minor, kofaktor, dan adjoint. 4 ditukar posisi dan 2 & Misalkan a dan b adalah dua matriks yang berordo 2 × 2 dan memenuhi. Materi invers matematika ini berisi rumus invers matriks dan contoh soal invers matriks, baik ordo 2×2 maupun ordo 3×3. Materi pengertian jenis sifat rumus invers matriks 3x3 2x2 dan contoh soal serta pembahasannya lengkap.

Posting Komentar untuk "Rumus Invers Matriks 2X2 / Cara Menentukan Invers Matriks 2 X 2 Madematika / Materi pengertian jenis sifat rumus invers matriks 3x3 2x2 dan contoh soal serta pembahasannya lengkap."